background picture of the home page

One more time One more chance

06 双子 四川 本科 计算机

智能系统——与或图搜索

与或图,是将复杂问题拆解为子问题,并表达子问题间“并且(与)/或者(或)”逻辑的有向图,它的节点分为与节点(其子节点必须全真才真)和或节点(其子节点必须全假才假)。普通的状态图等同于一个全是或节点的与或图。与或图搜索的难点在于,一方面,其必须一边扩展节点一边判断子节点和父节点的逻辑关系;另一方面,当

thumbnail of the cover of the post

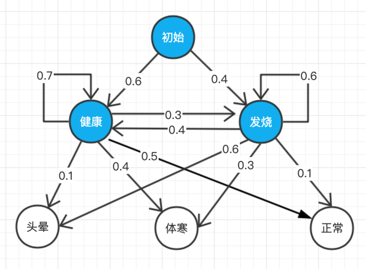
智能系统——状态图搜索

写在开始之前:本笔记整理自西北工业大学2026年春智能系统课程内容,在此感谢老师以及助教的辛苦付出! 智能系统,笔者上之前以为是教我怎么做一个完整的、以人工智能为主要内容的项目系统,但实际上是在讲人工智能从符号主义起源到当下连接主义盛行的历史发展过程中探索出的各种算法和系统。其实笔者上着感觉非常轻松

thumbnail of the cover of the post

机器学习——模型评估与工程实践

在机器学习任务中,我们通常将原始数据集划分为三个互斥的部分:训练集、验证集和测试集。这种划分是评估模型泛化能力、防止过拟合的基础。同时,偏差与方差的权衡贯穿模型选择与评估的始终,是理解模型行为、指导改进方向的核心视角。 1. 数据集划分与模型拟合理论 - 训练集、验证集、测试集的定义与功能 - 常见

thumbnail of the cover of the post

机器学习——特征工程与数据准备

数据准备通常可以分为四个紧密衔接的部分:数据收集、数据清洗、特征工程和数据集划分。它们在实际项目中往往相互影响、反复迭代,共同决定模型能否被有效训练。特征工程则是把原始数据转化成更适合学习任务的特征表达,在传统机器学习中,其质量往往比模型选择更能决定最终效果。 1. 机器学习数据准备 - 数据准备的

thumbnail of the cover of the post

机器学习——监督学习核心模型

线性回归是有监督学习中最基础、应用最广泛的回归算法,核心用于解决连续型数值预测问题。其核心思想是:假设输入特征与输出目标之间存在近似线性的映射关系,通过构建特征的线性组合来逼近真实输出。即便在大模型时代,线性模型依然是结构化数据预测、风控评分卡、运营分析等工业场景的首选基线方案。 1. 线性回归算法

thumbnail of the cover of the post

机器学习——机器学习基础与数学工具

写在开始之前:本笔记内容是基于西北工业大学2026春季学期本科模式识别与机器学习内容以及全班同学的笔记内容整理而成,在此感谢主讲老师朱老师以及各位助教的辛苦付出,也感谢各位同学帮助我整理这份笔记! 机器学习的核心目标,是从数据中学习到输入到输出的映射规律,从而实现对未知数据的预测与决策。机器学习的本

thumbnail of the cover of the post

自然语言处理--循环神经网络与序列模型

不得不说,笔者整理完笔记到自己博客上写这段碎碎念的时候是又气又笑的。笑的是这是本科NLP最后一章内容了,也算是又吃下了一大本知识。气的是到底是谁想的把循环神经网络(RNN)、长短期记忆网络(LTSM)、Transformer放在一章讲完的。笔者写这章笔记头都写晕了,好多东西课上也不说,笔者为了稍微了

thumbnail of the cover of the post

自然语言处理--神经网络与文本应用

这章内容里非常多的数学公式,不过我个人觉得完全没必要记,一方面是许多都是我们之前的老朋友,另一方面神经网络的结构就像是这些公式可视化结果。学到这里笔者不得不感叹一下,虽然NLP的数学计算不少,但是真到写程序的时候也就是调用一个库函数的事情,所以哪怕你数学底子不好也没关系,你只要记住一些结论,并且跟着

thumbnail of the cover of the post

自然语言处理基础

按道理来讲这篇笔记该第一个发的,但是笔者整理笔记的时候觉得这章不重要就直接跳过了。这章的内容也确实不难,大部分内容也是了解即可,为数不多需要记的就是那几个常用的正则表达式和字符编辑距离的计算(话说这算法被出成动态规划算法题出现在各位的考试中的概率真不低)。总之要是你要是按笔者发布笔记的时间顺序阅读的

thumbnail of the cover of the post

自然语言处理--向量语义与嵌入

如果在这一节前你阅读过《自然语言处理--文本分类》,那应该对特征向量有印象,我们将一段文本转化为一段向量,维度i的值便是文本位置i上的单词的统计词频。同样的,我们也希望能把每个单词转化为向量,用于表示这个单词的词义,这就是我们常说的“词向量(Word embedding)“。我们按照某种规则,将词义

thumbnail of the cover of the post